Skip to content
This documentation is sourced from a third-party project and is not maintained by pgEdge.

Built-in Map Algebra Callback Functions

ST_Distinct4ma

Raster processing function that calculates the number of unique pixel values in a neighborhood.

Synopsis

float8 ST_Distinct4ma(float8[][] matrix, text nodatamode, text[] VARIADIC args)
double precision ST_Distinct4ma(double precision[][][] value, integer[][]  pos, text[] VARIADIC userargs)

Description

Calculate the number of unique pixel values in a neighborhood of pixels.

Note

Variant 1 is a specialized callback function for use as a callback parameter to RT_ST_MapAlgebraFctNgb.

Note

Variant 2 is a specialized callback function for use as a callback parameter to RT_ST_MapAlgebra.

Warning

Use of Variant 1 is discouraged since RT_ST_MapAlgebraFctNgb has been deprecated as of 2.1.0.

Availability: 2.0.0

Enhanced: 2.1.0 Addition of Variant 2

Examples

SELECT
    rid,
    st_value(
        st_mapalgebrafctngb(rast, 1, NULL, 1, 1, 'st_distinct4ma(float[][],text,text[])'::regprocedure, 'ignore', NULL), 2, 2
    )
FROM dummy_rast
WHERE rid = 2;
 rid | st_value
-----+----------
   2 |        3
(1 row)

See Also

RT_ST_MapAlgebraFctNgb, RT_ST_MapAlgebra, RT_ST_Min4ma, RT_ST_Max4ma, RT_ST_Sum4ma, RT_ST_Mean4ma, RT_ST_Distinct4ma, RT_ST_StdDev4ma

ST_InvDistWeight4ma

Raster processing function that interpolates a pixel's value from the pixel's neighborhood.

Synopsis

double precision ST_InvDistWeight4ma(double precision[][][] value, integer[][] pos, text[] VARIADIC userargs)

Description

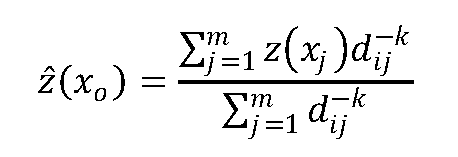
Calculate an interpolated value for a pixel using the Inverse Distance Weighted method.

There are two optional parameters that can be passed through userargs. The first parameter is the power factor (variable k in the equation below) between 0 and 1 used in the Inverse Distance Weighted equation. If not specified, default value is 1. The second parameter is the weight percentage applied only when the value of the pixel of interest is included with the interpolated value from the neighborhood. If not specified and the pixel of interest has a value, that value is returned.

The basic inverse distance weight equation is:

image

k = power factor, a real number between 0 and 1

Note

This function is a specialized callback function for use as a callback parameter to RT_ST_MapAlgebra.

Availability: 2.1.0

Examples

-- NEEDS EXAMPLE

See Also

RT_ST_MapAlgebra, RT_ST_MinDist4ma

ST_Max4ma

Raster processing function that calculates the maximum pixel value in a neighborhood.

Synopsis

float8 ST_Max4ma(float8[][] matrix, text nodatamode, text[] VARIADIC args)
double precision ST_Max4ma(double precision[][][] value, integer[][]  pos, text[] VARIADIC userargs)

Description

Calculate the maximum pixel value in a neighborhood of pixels.

For Variant 2, a substitution value for NODATA pixels can be specified by passing that value to userargs.

Note

Variant 1 is a specialized callback function for use as a callback parameter to RT_ST_MapAlgebraFctNgb.

Note

Variant 2 is a specialized callback function for use as a callback parameter to RT_ST_MapAlgebra.

Warning

Use of Variant 1 is discouraged since RT_ST_MapAlgebraFctNgb has been deprecated as of 2.1.0.

Availability: 2.0.0

Enhanced: 2.1.0 Addition of Variant 2

Examples

SELECT
    rid,
    st_value(
        st_mapalgebrafctngb(rast, 1, NULL, 1, 1, 'st_max4ma(float[][],text,text[])'::regprocedure, 'ignore', NULL), 2, 2
    )
FROM dummy_rast
WHERE rid = 2;
 rid | st_value
-----+----------
   2 |      254
(1 row)

See Also

RT_ST_MapAlgebraFctNgb, RT_ST_MapAlgebra, RT_ST_Min4ma, RT_ST_Sum4ma, RT_ST_Mean4ma, RT_ST_Range4ma, RT_ST_Distinct4ma, RT_ST_StdDev4ma

ST_Mean4ma

Raster processing function that calculates the mean pixel value in a neighborhood.

Synopsis

float8 ST_Mean4ma(float8[][] matrix, text nodatamode, text[] VARIADIC args)
double precision ST_Mean4ma(double precision[][][] value, integer[][]  pos, text[] VARIADIC userargs)

Description

Calculate the mean pixel value in a neighborhood of pixels.

For Variant 2, a substitution value for NODATA pixels can be specified by passing that value to userargs.

Note

Variant 1 is a specialized callback function for use as a callback parameter to RT_ST_MapAlgebraFctNgb.

Note

Variant 2 is a specialized callback function for use as a callback parameter to RT_ST_MapAlgebra.

Warning

Use of Variant 1 is discouraged since RT_ST_MapAlgebraFctNgb has been deprecated as of 2.1.0.

Availability: 2.0.0

Enhanced: 2.1.0 Addition of Variant 2

Examples: Variant 1

SELECT
    rid,
    st_value(
        st_mapalgebrafctngb(rast, 1, '32BF', 1, 1, 'st_mean4ma(float[][],text,text[])'::regprocedure, 'ignore', NULL), 2, 2
    )
FROM dummy_rast
WHERE rid = 2;
 rid |     st_value
-----+------------------
   2 | 253.222229003906
(1 row)

Examples: Variant 2

SELECT
    rid,
    st_value(
              ST_MapAlgebra(rast, 1, 'st_mean4ma(double precision[][][], integer[][], text[])'::regprocedure,'32BF', 'FIRST', NULL, 1, 1)
       ,  2, 2)
  FROM dummy_rast
   WHERE rid = 2;
 rid |     st_value
-----+------------------
   2 | 253.222229003906
(1 row)

See Also

RT_ST_MapAlgebraFctNgb, RT_ST_MapAlgebra, RT_ST_Min4ma, RT_ST_Max4ma, RT_ST_Sum4ma, RT_ST_Range4ma, RT_ST_StdDev4ma

ST_Min4ma

Raster processing function that calculates the minimum pixel value in a neighborhood.

Synopsis

float8 ST_Min4ma(float8[][] matrix, text  nodatamode, text[] VARIADIC args)
double precision ST_Min4ma(double precision[][][] value, integer[][]  pos, text[] VARIADIC userargs)

Description

Calculate the minimum pixel value in a neighborhood of pixels.

For Variant 2, a substitution value for NODATA pixels can be specified by passing that value to userargs.

Note

Variant 1 is a specialized callback function for use as a callback parameter to RT_ST_MapAlgebraFctNgb.

Note

Variant 2 is a specialized callback function for use as a callback parameter to RT_ST_MapAlgebra.

Warning

Use of Variant 1 is discouraged since RT_ST_MapAlgebraFctNgb has been deprecated as of 2.1.0.

Availability: 2.0.0

Enhanced: 2.1.0 Addition of Variant 2

Examples

SELECT
    rid,
    st_value(
        st_mapalgebrafctngb(rast, 1, NULL, 1, 1, 'st_min4ma(float[][],text,text[])'::regprocedure, 'ignore', NULL), 2, 2
    )
FROM dummy_rast
WHERE rid = 2;
 rid | st_value
-----+----------
   2 |      250
(1 row)

See Also

RT_ST_MapAlgebraFctNgb, RT_ST_MapAlgebra, RT_ST_Max4ma, RT_ST_Sum4ma, RT_ST_Mean4ma, RT_ST_Range4ma, RT_ST_Distinct4ma, RT_ST_StdDev4ma

ST_MinDist4ma

Raster processing function that returns the minimum distance (in number of pixels) between the pixel of interest and a neighboring pixel with value.

Synopsis

double precision ST_MinDist4ma(double precision[][][] value, integer[][] pos, text[] VARIADIC userargs)

Description

Return the shortest distance (in number of pixels) between the pixel of interest and the closest pixel with value in the neighborhood.

Note

The intent of this function is to provide an informative data point that helps infer the usefulness of the pixel of interest's interpolated value from RT_ST_InvDistWeight4ma. This function is particularly useful when the neighborhood is sparsely populated.

Note

This function is a specialized callback function for use as a callback parameter to RT_ST_MapAlgebra.

Availability: 2.1.0

Examples

-- NEEDS EXAMPLE

See Also

RT_ST_MapAlgebra, RT_ST_InvDistWeight4ma

ST_Range4ma

Raster processing function that calculates the range of pixel values in a neighborhood.

Synopsis

float8 ST_Range4ma(float8[][] matrix, text nodatamode, text[] VARIADIC args)
double precision ST_Range4ma(double precision[][][] value, integer[][]  pos, text[] VARIADIC userargs)

Description

Calculate the range of pixel values in a neighborhood of pixels.

For Variant 2, a substitution value for NODATA pixels can be specified by passing that value to userargs.

Note

Variant 1 is a specialized callback function for use as a callback parameter to RT_ST_MapAlgebraFctNgb.

Note

Variant 2 is a specialized callback function for use as a callback parameter to RT_ST_MapAlgebra.

Warning

Use of Variant 1 is discouraged since RT_ST_MapAlgebraFctNgb has been deprecated as of 2.1.0.

Availability: 2.0.0

Enhanced: 2.1.0 Addition of Variant 2

Examples

SELECT
    rid,
    st_value(
        st_mapalgebrafctngb(rast, 1, NULL, 1, 1, 'st_range4ma(float[][],text,text[])'::regprocedure, 'ignore', NULL), 2, 2
    )
FROM dummy_rast
WHERE rid = 2;
 rid | st_value
-----+----------
   2 |        4
(1 row)

See Also

RT_ST_MapAlgebraFctNgb, RT_ST_MapAlgebra, RT_ST_Min4ma, RT_ST_Max4ma, RT_ST_Sum4ma, RT_ST_Mean4ma, RT_ST_Distinct4ma, RT_ST_StdDev4ma

ST_StdDev4ma

Raster processing function that calculates the standard deviation of pixel values in a neighborhood.

Synopsis

float8 ST_StdDev4ma(float8[][] matrix, text  nodatamode, text[] VARIADIC args)
double precision ST_StdDev4ma(double precision[][][] value, integer[][]  pos, text[] VARIADIC userargs)

Description

Calculate the standard deviation of pixel values in a neighborhood of pixels.

Note

Variant 1 is a specialized callback function for use as a callback parameter to RT_ST_MapAlgebraFctNgb.

Note

Variant 2 is a specialized callback function for use as a callback parameter to RT_ST_MapAlgebra.

Warning

Use of Variant 1 is discouraged since RT_ST_MapAlgebraFctNgb has been deprecated as of 2.1.0.

Availability: 2.0.0

Enhanced: 2.1.0 Addition of Variant 2

Examples

SELECT
    rid,
    st_value(
        st_mapalgebrafctngb(rast, 1, '32BF', 1, 1, 'st_stddev4ma(float[][],text,text[])'::regprocedure, 'ignore', NULL), 2, 2
    )
FROM dummy_rast
WHERE rid = 2;
 rid |     st_value
-----+------------------
   2 | 1.30170822143555
(1 row)

See Also

RT_ST_MapAlgebraFctNgb, RT_ST_MapAlgebra, RT_ST_Min4ma, RT_ST_Max4ma, RT_ST_Sum4ma, RT_ST_Mean4ma, RT_ST_Distinct4ma, RT_ST_StdDev4ma

ST_Sum4ma

Raster processing function that calculates the sum of all pixel values in a neighborhood.

Synopsis

float8 ST_Sum4ma(float8[][] matrix, text nodatamode, text[] VARIADIC args)
double precision ST_Sum4ma(double precision[][][] value, integer[][]  pos, text[] VARIADIC userargs)

Description

Calculate the sum of all pixel values in a neighborhood of pixels.

For Variant 2, a substitution value for NODATA pixels can be specified by passing that value to userargs.

Note

Variant 1 is a specialized callback function for use as a callback parameter to RT_ST_MapAlgebraFctNgb.

Note

Variant 2 is a specialized callback function for use as a callback parameter to RT_ST_MapAlgebra.

Warning

Use of Variant 1 is discouraged since RT_ST_MapAlgebraFctNgb has been deprecated as of 2.1.0.

Availability: 2.0.0

Enhanced: 2.1.0 Addition of Variant 2

Examples

SELECT
    rid,
    st_value(
        st_mapalgebrafctngb(rast, 1, '32BF', 1, 1, 'st_sum4ma(float[][],text,text[])'::regprocedure, 'ignore', NULL), 2, 2
    )
FROM dummy_rast
WHERE rid = 2;
 rid | st_value
-----+----------
   2 |     2279
(1 row)

See Also

RT_ST_MapAlgebraFctNgb, RT_ST_MapAlgebra, RT_ST_Min4ma, RT_ST_Max4ma, RT_ST_Mean4ma, RT_ST_Range4ma, RT_ST_Distinct4ma, RT_ST_StdDev4ma